(映画)天地明察 関の設問


seki1


おいおい

koukogen

鈎股があると何か楽しいことでも起こるのだろうか?おまけに、問題には言及されていない(直角三角形の)弦が作図されている。まあ、(直角三角形の)弦と書くと、円弧の弦と混同してややこしいことこのうえなくなるんだが。

特に条件が示されるわけでもなく、全く役に立たない鈎股弦であった。書いただけ~。問題を解く過程で必要だとしても、出題者が問題に描きこむ必要は全くない。大きなお世話だ。補助線は解答者がその都度生成すればよい。
図形自体も別段どうということのないもの。美しさとか巧妙さのかけらもない。「天球に浮かぶ2つの星・・・」がイメージできるなんてかなり奇特なお方だ。私は雨傘か落下傘にしか見えない。この弧が天球だと強弁するなら、股弦は円の中心に引くべきだと思うが、如何。

「依弧矢接鈎股」が余計。「病題(繁題)」(条件がないので教育的指導)
seki
クリックすると拡大します。

CADだと絵さえちゃんと描けば、簡単に求まっちゃう。

「十一寸有奇」って答で如何でしょう?
「十一寸一分九厘七毛六糸九忽五微有奇」この位書いておく?
「十一寸一分九厘七毛六糸九忽五微一沙四塵九埃九渺八漠六模糊三逡巡四須臾一瞬息八弾指六刹那六六徳八虚空六清浄六阿頼耶七阿摩羅七涅槃寂静有奇」これでどうだ?


何としても数式でというなら、
seki_4
クリックすると拡大します。


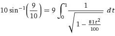
現代風に解けば:
弧 = 半径 * 2 * asin(弦 / 直径)
= 10 * asin(9 / 10)
= 11.197695149986341866866770558453996158951621864033028...


などという表現方法もある。

(逆)三角関数が禁じ手だった場合、地道に近似するしかない。

がんばっちくり。(映画)天地明察 関の設問 近似版Link


これって極論すると、円周率を求める問題だよね。1600年代のレベルですかねぇ。この辺の理論が確立するのは1700年代じゃぁありませんでしたっけ?確かに関孝和の円周率計算への貢献は大だが、こんな問題がほいほい解けるなら、関孝和はもとより、名だたる和算家達は誰も苦労はしなかった。

答が無理数じゃぁいかんとは言わないが、「明察」/「誤謬」の判定基準はどの辺にあるのだろう?

径一尺弦九寸って何か特殊な(例えば割りきれちゃう)条件で、私が気づかないだけなんだろうか?
そりゃぁ大発見だ。「円周率ついに割り切れる!」

算哲の答を失念したのは、返す返すも残念だ。DVDで確認しよう。算哲の答を覚えている方はご連絡ください。

10/01 追記:
どっかで見た問題だなぁと思っていたら、「括要算法 貞」(関氏孝和先生遺編・荒木村英検閲・大高由昌 校訂)十二丁オの求弧術の変形だね。「円率解」第三「求径率」で、 355/113 を求めた次の章にある問題だ。やはり円周率の文脈で吟味される問題だ。
求弧術 乃円率用周三百五十五尺径一百一十三尺

今有弧形只云弦八寸矢二寸則
問弧若干

答曰大弧九寸二分七厘二毛
    九糸五忽三微強
  小弧六寸四分三厘五毛
    〇一忽一微六繊強
術曰【以下略】
kyuko

円率 355/113 を前提に、弦と矢から弧を求める問題だ。弦八寸矢二寸の場合、直径は十なんだ・・・美しい
ときに、小弧 6.4350116 ってなんだろう。

10/02 追記:
何故だか、矢一寸の弧が小弧だねぇ。
kyuko_2



10/02 追記:
解法はその次、十四丁オの
【十四オ】
【前略】
弧背率解第一 求甲截背
矢一寸弦六寸弧内如圖容二斜次容四斜次容八斜
次容一十六斜次第如此至三萬二千七百六十八斜
各以勾股術求弦以斜數相乘之各得截背[各所得勾股弦及背
數列于後]

弧背演段圖
【十四ウ】
に近い方法になるだろう。この場合も、直径は十。美しい
32768・・・美しい。コンピュータ屋は2のべき乗を見ると体が反応してしまうんだ。

10/4 追記:
「関孝和論序説」(上野 健爾、小川 束、小林龍彦、佐藤賢一著/岩波書店)にもまさに十一丁ウ・十二丁オが掲載されている。
P152 史料7 
【十一ウ】
   三百二十七 一百〇四  三一四四二三〇七六九強
   三百三十  一百〇五  三一四二八五七一四三弱
   三百三十三 一百〇六  三一四一五〇九四三四微弱
   三百三十七 一百〇七  三一四九五三二七一微弱
   三百四十  一百〇八  三一四八一四八一四八強
   三百四十三 一百〇九  三一四六七八八九九一弱
   三百四十六 一百一十  三一四五四五四五四五強
   三百四十九 一百一十一 三一四四一四四一四四強
   三百五十二 一百一十二 三一四二八五七一四三弱
   三百五十五 一百一十三 三一四一五九二九二微強
如右求周數至周三百五十五徑一百一十三而比于
【十二オ】
定周雖有微不盡欲令之適合則周徑率及繁位故以
此而今爲定率也

求弧術 乃圓率用周三百五十五尺徑一百一十三尺


今有弧形只云弦八寸矢二寸則
問弧若干

答曰大弧九寸二分七厘二毛
    九糸五忽三微強
  小弧六寸四分三厘五毛
    〇一忽一微六微強
術曰立天元一爲大弧〇|自之爲大弧冪〇〇|寄
【十二ウ】
丁度読んでるところだった。タイムリーだなぁ。

11/1 追記:
『天地明察』 関孝和の設問を解いてみたLink 2012年10月31日(水) アンパンマン先生の映画講座Link
真面目に取り組んでいらっしゃる。

 


— posted by nitobe at 10:38 pm   commentComment [4] 

(映画)天地明察 観たぞー


突然、午後、時間が空いたので新宿ピカデリーLink で観てきた。12:25スタートの127席スクリーン*4(でっかい視聴覚室な感じ)で、二割位の入りかな?平日の真昼間だからこんなもんだろう。

こんなボロボロの原作で、滝田洋二郎監督と「天地明察」製作委員会の皆さんは概ねよく頑張った。万が一オオコケしても、それはあなたたちの所為ではなく、すべて原作者に起因する。
ストーリーと役者の演技はさておき、主だったところだけ。

1.算額の問題は全面的に改訂。
2.北極出地の観測機器はほぼ妥当なものを使用している。んが!
  角でんでん太鼓型歩数カウンタはいただけない。空海の招来した数珠で十分だった。
  あの変な歩き方も勘弁してほしかった。
3.象限儀は地味~に出てくる。あの目盛では何度強弱半位の精度だろう。
  真鍮色に輝く副尺をクローズアップすると伊能忠敬バージョンだとばれてしまう。
  つらいところだったね。滝田監督。
  そのくせ観測値は、360度100分表現。秒はない。数値自体はどうなんだろう?
  どのみち秒までの精度がないから、遠心力やら重力異常やら光行差(?)やらの
  補正が施された現代の値をパクってしまう心配はない。
4.「犬若岬」は出てこない。「加賀藩」のすったもんだもない。
5.最終観測地「三厩」はあっさり捨て去り「大間」な感じ。はっきりしない。
6.「必至」は関孝和とのからみで一回のみ。他は「御意」。
  「碁の語彙」だの「勝負の語彙」だの変な解説がないのでさほど気にならない。
7.象限儀ではなく渾天儀に拘ったのは正解。だがアルマジロドームはいただけない。
8.海外(たぶん欧州)の世界地図の真ん中が日本だなんて・・・変。
  ど真ん中に見えているのに「日本は何処でしょう・・・」なんてしらじらしい。
9.「梅小路」は北極出地当てバトルではなく日蝕当てバトルになっている。
  「ロッキー」みたいでなんか変。「えいどりあーん」じゃなくて「だんなさまぁー」だ。

算額の問題に関してはおいおい。

 

— posted by nitobe at 09:46 pm   commentComment [0] 

ちはやふる(18)



516gLzTLXrL__SS500_


ちはやふる(18) (BE LOVE KC)
著者: 末次 由紀
出版: 講談社
出版日: 2012-09-13
ISBN: 4063803597

本宅には使えない。

 

— posted by nitobe at 11:07 pm   commentComment [0] 

 

関孝和論序説


Link

関孝和論序説Link

  • 情報取得失敗


51u1bl2y4lL__SS500_


関孝和論序説
著者: 上野 健爾、小川 束、小林龍彦、佐藤賢一
発行: 岩波書店
出版日: 2008-12-17
ISBN: 978-4-00-006275-6
価格: ¥ 3,570

— posted by nitobe at 12:18 am   commentComment [0] 

(映画)天地明察 鑑賞前の雑感


いよいよ今日から公開だ。試写なんぞ観ていないので何も言えない。のだが、公式サイトをつらつら見ていて気が付いたことを何点か。

1.象限儀、内法一尺の鉄鎖、彎窠羅針が姿を消している。昨年11月位は大象限儀組立ショウなんぞを行っていたはずだが、現在、宣伝コンテンツからことごとく姿を消している。

2.劇場グッズ「天地明察 絵馬メモ」のボケボケ画像で招差術問題にあたる問題を確認、翻刻。
斗>箕>尾>心>房>氐>亢>角
奎>壁>室>危>虚>女>牛>
関孝和殿
今有如図大小星球
十五球只云角亢二
球周寸相併一十六寸
又云氐房心三球周寸
相併二十七寸
別云虚危室壁奎五
球周寸相併六十三寸
問角星周寸幾何

  七寸八分
     関

 安井算哲
注:「球」は解像度の限界。怪しい。
所詮劇場グッズである。映画の内容と同一である保障は全くない。以下はこの問題が映画版と同様と仮定してのもの。
2−1.30/7 という訳のわからない拘りは、あっさり捨てたようだ。
2−2.比較的、オリジナル・海老澤總右衛門正泰版に近くなっている。
2−3.文庫版と数値は違うが、同様に、初期値39/5、増分2/5の等差数列に成り下がっている。
    30/7 に拘っている分文庫版の方に努力の跡が認められるが、「目くそ鼻くそを笑う」レベルだ。
2−4.「招差術」とみなされるかどうかは不明。
an = pn^2 + qn + r を想定する。
 
角: a1 = p + q + r
亢: a2 = 4p + 2q + r
氐: a3 = 9p + 3q + r
房: a4 = 16p + 4q + r
心: a5 = 25p + 5q + r
尾: a6 = 36p + 6q + r
箕: a7 = 49p + 7q + r
斗: a8 = 64p + 8q + r
牛: a9 = 81p + 9q + r
女: a10 = 100p + 10q + r
虚: a11 = 121p + 11q + r
危: a12 = 144p + 12q + r
室: a13 = 169p + 13q + r
壁: a14 = 196p + 14q + r
奎: a15 = 225p + 15q + r

題意より 
角+亢:       a1+a2 = 5p + 3q + 2r = 16 ・・・(1)
氐+房+心:     a3+a4+a5 = 50p + 12q + 3r = 27 ・・・(2)
虚+危+室+壁+奎: a11+a12+a13+a14+a15 = 855p + 65q + 5r = 63 ・・・(3)

(1)、(2)、(3)より
p = 0, q = 2/5, r = 37/5

故に
角: a1 = 39/5 = 7.8
あほくさっ!
20120919
クリックすると拡大します

映画「天地明察」の招差術問題も、条件過剰の「病題」である。カテゴリー「繁題」。

牛>斗>箕>尾>心>房>氐>亢>角
今有如図大小星球九宿
只云房周寸九寸
又云牛周寸一十一寸
問角星周寸幾何
で充分。
an = qn + r を想定する。

房: a4 = 4q + r = 9 ・・・(1)
牛: a9 = 9q + r = 11 ・・・(2)

(1)、(2)より
q = 2/5, r = 37/5

故に
角: a1 = 39/5 = 7.8
しょぼい。しょぼすぎる。佐藤健一先生にはちょっと期待していたのだが・・・天地明察ならぬ残念至極だ。

9/15 20:00 追記:
レイトショウを観に行こうと思ったら、18時台が最終上映だったorz 当面観るチャンスはない。

 

— posted by nitobe at 12:03 am   commentComment [0] 

T: Y: ALL: Online:
ThemeSwitch
  • Basic
Created in 1.0784 sec.
prev
2025.12
next
  1 2 3 4 5 6
7 8 9 10 11 12 13
14 15 16 17 18 19 20
21 22 23 24 25 26 27
28 29 30 31      
 
strawberry-linux geigercounter Ver.2
Sibasaki, Cyofu City, Tokyo, JAPAN
blogBar